ПОСТАНОВЛЕНИЕ
Администрации Борисоглебского сельского поселения
Борисоглебского муниципального района
Ярославской области
от 24.12.2019 г. № 224
п. Борисоглебский
Об утверждении муниципальной
программы «Защита населения и территории
Борисоглебского сельского поселения от
чрезвычайных ситуаций, обеспечение пожарной
безопасности и безопасности людей на водных объектах»
на 2020-2022 годы
В соответствии с Федеральным законом от 6 октября 2003 года № 131-ФЗ «Об общих принципах организации местного самоуправления в Российской Федерации», руководствуясь Уставом муниципального образования. На основании постановления Администрации Борисоглебского сельского поселения от 25.05.2011 г. № 54 «О порядке принятия решений, формирования и реализации долгосрочных муниципальных целевых программ Борисоглебского сельского поселения»
ПОСТАНОВЛЯЕТ:
1. Утвердить муниципальную программу «Защита населения и территории Борисоглебского сельского поселения от чрезвычайных ситуаций, обеспечение пожарной безопасности и безопасности людей на водных объектах» на 2020-2022 годы ( приложение 1).
2. Ведущему специалисту Администрации Борисоглебского сельского поселения,
Полиной Т.М., предусмотреть ассигнования на реализацию муниципальной программы.
3. Установить, что в ходе реализации программы мероприятия и объемы их финансирования подлежат ежегодной корректировке с учетом возможностей средств бюджета.
4. Постановление вступает в силу с момента его подписания, и распространяется на правоотношения, возникающие при составлении и исполнении бюджета Борисоглебского сельского поселения.
5. Контроль за исполнением настоящего постановления оставляю за собой.
И.о.зам.Борисоглебского поселения Горохова Е.А.
Приложение 1
МУНИЦИПАЛЬНАЯ ПРОГРАММА
«Защита населения и территории Борисоглебского сельского поселения от
чрезвычайных ситуаций, обеспечение пожарной безопасности и безопасности людей на водных объектах» на 2020-2022 годы
Раздел 1. Содержание проблемы и обоснование необходимости ее решения программными методами
Пожар – это неконтролируемое горение, причиняющее материальный ущерб, вред жизни и здоровью граждан, интересам общества и государства. Пожары приводят к большому материальному ущербу в экономике и сельскохозяйственном производстве, гибели людей и животных, нарушению жизнедеятельности населения. Поэтому к вопросам местного значения муниципального образования в соответствии с Федеральным законом от 06.10.2003 №131-ФЗ «Об общих принципах организации местного самоуправления в Российской Федерации», (Глава 3, ст. 14) относятся:
– участие в предупреждении и ликвидации последствий чрезвычайных ситуаций в границах поселения (п.8);
- обеспечение первичных мер пожарной безопасности в границах населенных пунктов поселения (п.9);
– организация и осуществление мероприятий по гражданской обороне, защите населения и территории поселения от чрезвычайных ситуаций природного и техногенного характера (п.23).
- осуществление мероприятий по обеспечению безопасности людей на водных объектах, охране их жизни и здоровья (п.26).
Пожарная безопасность тесно взаимосвязана с вопросами чрезвычайных ситуаций. Приказом МЧС России от 08.07.2004 №239 утверждены критерии чрезвычайных ситуаций, к которым относятся и пожары. Проведение работы по предупреждению пожаров следует отнести к работе по предупреждению чрезвычайных ситуаций.
В последнее время вопросы пожарной безопасности, безопасности жизни и здоровью людей обсуждаются на всех уровнях государственной власти и принимаются самые жёсткие меры для соблюдения всех установленных норм и правил. Разработана государственная концепция по созданию новых и модернизации существующих структур, призванных обеспечить пожарную безопасность людей, материальных ценностей и природных ресурсов.
Сохранение существующих тенденций может привести к еще большим потерям, как в отношении материального ущерба, так и в отношении количества пострадавших и погибших людей. Особую тревогу вызывает тот факт, что увеличивается относительная опасность и «затратная себестоимость» каждого отдельного пожара, как в отношении материального ущерба, так и по числу людей, подвергающихся опасности.
Такое положение дел с обеспечением пожарной безопасности обусловлено комплексом проблем правового, материально-технического и социального характера, накапливающихся в поселении десятилетиями и не получивших своего разрешения до настоящего времени, а также недостаточной подготовкой населения к действиям в случае пожара и других чрезвычайных ситуациях.
Возникающие ситуации при использовании водных акваторий требуют разработки и применения адекватных мер по совершенствованию комплексной системы обеспечения безопасности людей на водных объектах: осуществление технического надзора за местами массового отдыха на водоемах – и обеспечения охраны жизни людей на водных объектах.
Раздел 2. Основные цели и задачи, сроки и этапы реализации Программы, целевые индикаторы и показатели
Основные цели Программы:
минимизация экономического и экологического ущерба наносимого населению, экономике и природной среде от ведения или вследствие ведения военных действий, чрезвычайных ситуаций природного и техногенного характера, пожаров и происшествий на водных объектах
– уменьшение количества пожаров, снижение рисков возникновения и смягчение последствий чрезвычайных ситуаций;
– снижение числа травмированных и погибших на пожарах;
– сокращение материальных потерь от пожаров;
– создание необходимых условий для обеспечения пожарной безопасности, защиты жизни и здоровья граждан;
– снижение числа погибших в результате своевременной помощи пострадавшим, оказанной добровольными пожарными дружинами и нештатными аварийно-спасательными формированиями;
– улучшение работы по предупреждению правонарушений на водных объектах;
Основные задачи Программы:
1. разработка и реализация мероприятий, направленных на соблюдение правил пожарной безопасности населением;
2. повышение объема знаний и навыков в области пожарной безопасности;
3. организация работы по предупреждению и пресечению нарушений требований пожарной безопасности и правил поведения на воде;
4.информирование населения о правилах поведения и действиях в чрезвычайных ситуациях
5.создание материальных резервов для ликвидации чрезвычайных ситуаций
6.хранение имущества гражданской обороны на случай возникновения чрезвычайных ситуаций и в особый период
Для достижения поставленных целей и задач Программа реализуется в 2020–2022 годах.
Этапы реализации Программы не предусматриваются, поскольку программные мероприятия будут реализовываться весь этот период.
Наиболее важными мероприятиями по реализации Программы являются снижение пожарной опасности зданий муниципального жилого и нежилого фонда, организация работ по предупреждению и тушению пожаров, гибели и травмирования людей.
Система мероприятий Программы с содержанием, объемами финансирования и исполнителями приведена в приложении № 1.
При выполнении всех мероприятий Программы и осуществлении своевременного финансирования предполагается за этот период достигнуть намеченных целей и задач.
Раздел 3. Критерии выполнения программы
Критериями выполнения настоящей программы являются :
Снижение общего количества пожаров на территории сельского поселения;
Снижение количества погибших и травмированных при пожарах людей.
- Снижение материальных потерь от пожаров;
полное освоение средств местного бюджета, направленных на реализацию мероприятий Программы.
Обеспечения безопасности людей на водных объектах;
Раздел 4. Механизмы реализации программы
Механизм реализации программы - исполнение всех программных мероприятий разработанных в соответствии с поставленными задачами:
защита граждан и имущества при пожарах;
повышение роли органов местного самоуправления Борисоглебского сельского поселения в обеспечении пожарной безопасности.
организация взаимодействия органов государственной власти, органов местного самоуправления, организаций, привлекаемых к реализации Программы;
Текущий контроль за исполнением Программы осуществляет Администрация Борисоглебского сельского поселения.
Предложения по корректировке Программы вносятся заинтересованными организациями в администрацию Борисоглебского сельского поселения и рассматриваются в ходе подведения итогов реализации Программы на совместных совещаниях с участием заинтересованных лиц.
Раздел 5. Оценка эффективности социально-экономических и экологических последствий от реализации Программы
Программа носит социальный характер, основными критериями ее эффективности являются пожарная безопасность и защита населения и территорий от чрезвычайных ситуаций.
В соответствии с целями настоящей Программы предполагается достичь следующих результатов:
1. Оснащение добровольных пожарных дружин необходимыми средствами пожаротушения.
3. Выполнение мероприятий по противопожарной пропаганде.
МЕТОДИКА
оценки эффективности муниципальной целевой программы
«Защита населения и территории
Борисоглебского сельского поселения от чрезвычайных ситуаций, обеспечение пожарной безопасности и безопасности людей на водных объектах» на 2020-2022 годы
I. Общие положения
Методика оценки эффективности муниципальной целевой программы, ориентирована на повышение эффективности мероприятий по пожарной безопасности и защите населения и территорий от чрезвычайных ситуаций.
II. Система показателей оценки эффективности Программы
2.1. В основе оценки эффективности Программы лежит система, включающая два показателя, характеризующих эффективность Программы.
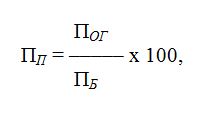
2.1.1. Показатель по пожарам – ПП.
Расчет показателя ПП осуществляется по следующей формуле:
где ПОГ – количество пожаров за отчетный год;
ПБ – количество пожаров в 2015 году (базовый показатель).
Показатель ПБ = 42.
При значении:
ПП менее 100 процентов реализация Программы является эффективной;
ПП равно и более 100 процентов – реализация Программы является
неэффективной.
2.2. Оценка эффективности реализации Программы производится ее разработчиком, Администрацией Борисоглебского сельского поселения, по завершении срока реализации Программы и за период с 2020 по 2022 года включительно.
ПРИЛОЖЕНИЕ №1
Система программных мероприятий
| |
Основные направления и мероприятия по реализации программы |
Исполнители |
Ожидаемые результаты |
Источники
финансирования
|
2020 год |
2021
год
|
2022
год
|
| 1 |
Организация и контроль профилактической работы с населением по вопросам пожарной безопасности |
Администрация поселения |
Повышение защищенности от пожаров |
Бюджет поселения
|
-
|
- |
- |
| 2 |
Приобретение бензина для заправки пожарных мотопомп |
Администрация поселения |
Повышение защищенности от пожаров |
Бюджет поселения
|
5,0 |
5,00 |
5,00 |
| 3 |
Изготовление табличек указателей местонахождения пожарных гидрантов, пожарного пирса, пожарного водоема. |
Администрация поселения |
Повышение готовности |
Бюджет поселения
|
0,0
|
0,00
|
0,00
|
| 4 |
Подворный обход территории поселения с проверкой состояния и выполнения норм и правил пожарной безопасности
|
Администрация поселения |
Повышение защищенности от пожаров |
Бюджет поселения
|
0,0 |
0,00 |
0,00 |
| 5 |
Прохождение обучения должностных лиц обучения мерам пожарной безопасности |
Администрация поселения |
|
Бюджет поселения
|
0,00 |
0,00 |
0,00 |
| 6 |
Содержание пожарных прорубей |
Администрация поселения |
Повышение защищенности от пожаров |
Бюджет поселения
|
15,00 |
15,00 |
15,00 |
| 7 |
Опашка населенных пунктов |
Администрация поселения |
Повышение защищенности от пожаров |
Бюджет поселения
|
20,0 |
20,00 |
20,00 |
| 8 |
Содержание подъездных путей к пожарным водоемам |
Администрация поселения |
Повышение защищенности от пожаров |
Бюджет поселения
|
0,00 |
0,00 |
00,0 |
| 9 |
Изготовление и покупка наглядной агитации по пожарной безопасности и безопасности людей на водных объектах |
Администрация поселения |
|
Бюджет поселения
|
0,00 |
0,00 |
0,00 |
| 10 |
Реализация мероприятий по обеспечению безопасности людей на водных объектах, охране их жизни и здоровья |
Администрация поселения |
|
Бюджет поселения
|
10,00 |
10,00 |
10,00 |
| 11 |
Проведение работ ,мероприятий по очистке пожарных водоемов |
|
|
Бюджет поселения |
400,00 |
0,00 |
0,00 |
| 12 |
Меры имущественной поддержки добровольной пожарной дружины на территории Борисоглебского сельского поселения |
Администрация поселения |
|
Бюджет поселения |
50,00 |
0,00 |
0,00 |
| 13 |
Приобретение основных средств для мероприятий по защите населения и территории Борисоглебского сельского поселения от |
Администрация поселения |
|
Бюджет поселения |
30,00 |
0,00 |
00,00 |
| |
ИТОГО: |
|
|
|
530,00 |
50,00 |
50,00 |
ПАСПОРТ ПРОГРАММЫ
| Наименование муниципальной программы |
Муниципальная программа "Защита населения и территории Борисоглебского сельского поселения от чрезвычайных ситуаций, обеспечение пожарной безопасности и безопасности людей на водных объектах"
|
| Ответственный исполнитель программы |
Администрация Борисоглебского сельского поселения |
| Сроки реализации муниципальной программы |
2020 – 2022 годы |
| Куратор программы |
Евдокимов Александр Николаевич |
| Цель и задачи муниципальной программы |
минимизации экономического и экологического ущерба наносимого населению, экономике и природной среде от ведения или вследствие ведения военных действий, чрезвычайных ситуаций природного и техногенного характера, пожаров и происшествий на водных объектах
1.разработка и реализация мероприятий, направленных на соблюдение правил пожарной безопасности населением
2. повышение объема знаний и навыков в области пожарной безопасности
3. организация работы по предупреждению и пресечению нарушений требований пожарной безопасности и правил поведения на воде
|
| Объемы финансирования программы |
Всего по программе: 630 000 рублей,
2020 год – 530 000 рублей
2021 год – 50 000 рублей
2022 год- 50 000 рублей
|
|
| Перечень целевых программ и основных мероприятий, входящих в состав муниципальной программы |
Муниципальная целевая программа "Защита населения и территории Борисоглебского сельского поселения от чрезвычайных ситуаций, обеспечение пожарной безопасности и безопасности людей на водных объектах" |
| Организация и осуществление мероприятий по пожарной безопасности Борисоглебского сельского поселения |
| Организация и осуществление мероприятий по обеспечению безопасности людей на водных объектах, охране их жизни и здоровья |